
안녕하세요
오늘은 OpenFOAM에서 압력을 계산하는 방법에 대해 소개하려 해요.
OpenFOAM solver control
OpenFOAM에서 압력을 해석 하는 방법으로는 총 3가지가 있어요.

1. SIMPLE Algorithm : Semi-Implicit Method for Pressure-Linked Equations의 약자로 정상상태 해석과 Relaxation factor로 압력을 구하는데 사용돼요.

2. PISO Algorithm : Pressure Implicit with Splitting Operator의 약자로 비정상상태 해석을 할 때 사용돼요.

3. PIMPLE Algorithm : SIMPLE 과 PISO가 결합된 방식으로 비정상상태 해석을 할때 사용되고 SIMPLE Alorithm의 특징인 Relaxation factor를 가지고 해석을 진행해요.

Algorithm의 특징

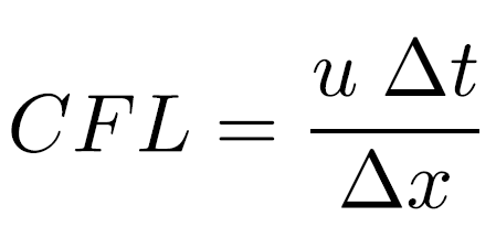
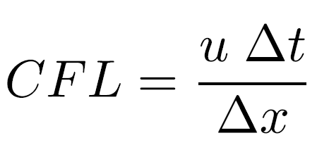
* Co는 Courant number로 해석의 안정성을 판단할 때 사용되는 수에요.
보통 Co가 1이상일 때 수치적으로 불안해요.

delta X는 격자의 크기, delta t는 time step의 크기, u 는 속도를 뜻해요.
1. 해석 효율성은 PISO Algorithm이 relaxation factor를 사용하지 않기 때문에 가장 빠르게 수렴되나 중간에 해석이 발산하는 경우가 있어요.
2. 해석 안정성은 relaxation factor를 사용하는 SIMPLE과 PIMPLE algorithm이 좋아요.
결론
오늘은 OpenFOAM에서 압력을 계산하는 방법에 대해 배워보았어요.
오늘도 읽어 주셔서 감사합니다. 질문은 댓글로 부탁드려요.
'OpenFOAM basic > Basic concepts and theories' 카테고리의 다른 글
| OpenFOAM 내 병렬실행 종류 (0) | 2024.07.30 |
|---|---|
| OpenFOAM 압축성 비정상상태해석 무반사 경계조건 설정 (waveTransmissive) (0) | 2024.07.26 |
| snappyHexMesh 실전 가이드 2부 – castellatedMesh부터 layer 추가, meshQuality 체크까지 (0) | 2024.06.07 |
| snappyHexMesh 실전 가이드 1부 – STL 파일 준비부터 blockMesh 배경 격자 생성까지 (0) | 2024.06.05 |
| blockMesh 기초 과정 마스터 (2) | 2024.06.01 |